Disclaimer: This is Untrue.


2.6.4 Modern Physics 2

2.6.4.1 Overview

The latter part of Moder Physics here (Modern Physics 2) would range to Electron Configuration and Matter Wave including the General Theory of Relativity.

2.6.4.2 Details

2.6.4.2.1 Rutherford's Discovery of Half-Life Period in 1907 CE

Background
Becquerel discovered radiations from uranium.

Discovery of Half-Life Period
Rutherford discovered half-life, a property involving radioactive decay.
*The concept of half-life is associated with "probability" and the Uncertainty Principle mentioned later.
* "Half-Life in Wikipedia" http://en.wikipedia.org/wiki/Half-life

2.6.4.2.2 Rutherford's Discovery of Nucleuses in 1909 CE

Background
Thomson claimed an atom consists of electrically negatively charged small light electrons and an electrically positively charged entity, but the size of the positively charged entity was unknown.

Rutherford's Claim
According to the Gold Foil Experiment, alpha particles were shot at a thin gold sheet and a small amount of the alpha particles showed large angled deflection. Then Rutherford claimed the positively charged entity is rather small, later called "nucleus," a cloud of electrons covers the positively charged small nucleus, and a planetary model atomic theory.

2.6.4.2.3 Geiger-Nuttall Law in 1911 CE

Background
Rutherford discovered Half-Life of radioactive decay. Geiger and Nuttall were directed by Rutherford.

Geiger-Nuttall Law
Geiger and Nuttall discovered a law involving half-life of alpha decay and energy of alpha particles.
Alpha decay is a kind of radioactive decay radiating alpha particles from an atomic nucleus. An alpha particle consists of 2 protons and 2 neutrons. (An alpha particle corresponds to an nucleus of Helium-4.) For example, nuclei of Uranium-238 (92 protons and 146 neutrons) decays into Thorium-234 (90 protons and 144 neutrons) and Helium-4 (2 protons and 2 neutrons).
Geiger-Nuttall Law presented that the Half-Life of alpha decay decreases depending on energy of radiated alpha particles.
*However, the mechanism of alpha decay depending on such probability was yet unknown at that time.
* "Alpha Decay in Wikipedia" http://en.wikipedia.org/wiki/Alpha_decay
* "Geiger-Nuttall Law in Wikipedia" http://en.wikipedia.org/wiki/Geiger-Nuttall_law

2.6.4.2.4 Paschen-Back Effect (Normal Zeeman Effect) in 1912 CE

Background
Zeeman Effect on sodium spectral D-line had been reported.

Paschen-Back Effect
Paschen and Back found that if strong magnetism is applied on lithium or helium, the spectrum splits into 3 spectra. It was similar to Zeeman Effect, but differed from Zeeman Effect, to be precise. It was called Paschen-Back Effect or Normal Zeeman Effect.
* "Paschen-Back Effect in Wikipedia" http://hyperphysics.phy-astr.gsu.edu/hbase/quantum/paschen.html

2.6.4.2.5 Bohr's Model in 1913 CE

Background
According to Maxwell, vibrating electrons radiate electromagnetic waves. Radiated electromagnetic waves hold energy. On the other hand, Rutherford claimed electrons turn around nucleus. However, if electrons turn around nucleus, it means electrons' vibration and the atom should radiate electromagnetic waves, lose energy, and the atom may collapse.
On the other hand, Balmer had claimed "Balmer Series." If a small amount of hydrogen is enclosed in a vacuum tube equipped with electrodes and a voltage is applied, the tube emits light (electromagnetic wave) of hydrogen. The light of hydrogen was classified into 4 wave lengths. The 4 wave lengths named had been Hα ray: 656.28nm, Hβ ray: 486.13nm, Hγ ray: 434.05nm, and Hδ ray: 410.17nm. Balmer had claimed that these 4 kinds of wave lengths, named Balmer Series, could be interpreted as 9/5*f, 16/12*f, 25/21*f, 36/32*f (f=3645.6*10^-7mm) and the could be explained by Balmer's Formula (λ=f*m^2/(m^2-n^2)). (n=2, m=an integer larger than n) The cause of Balmer's Formula had been unclear.

Bohr's Claim
Bohr claimed that quantity of energy of an atom involving electrons doesn't vary continuously, but varies discretely (at intervals like stepping-stones) as the Balmer series is seen at intervals. Specifically, Bohr assumed that electrons (electric particles) commonly orbit the nucleus through a certain number of "stable orbits" (Bohr called them "stationary orbits"). Number of "stable orbits" is restricted. Bohr assumed an exception when electrons run on the stable orbits, electrons neither radiate electromagnetic waves nor lose energy. Some stable orbits have different energy levels. A stable orbit may have low energy level, but another stable orbit may have higher energy level. When an electron moves from higher energy stable orbit to lower energy stable orbit, it radiates electromagnetic along with energy. The difference between the energy levels corresponds to the Balmer series or E=hν. In contrast, when proper energy such as some electromagnetic waves are provided, an electron may move from lower energy stable orbit to higher energy stable orbit.
In addition, Bohr alleged "Quantum Condition" that "if an angular momentum of an electron is integral multiples of h/(2*π), it forms stable orbits (stationary orbits)." In other words, Bohr alleged electrons commonly have angular momentums of integral multiples of h/(2*π), angular momentums of electrons are quantized (angular momentums of electrons are composed of integral multiples of a minimum quantity element).
*Angular momentum roughly means degree of intensity of rotation. Angular momentum is originally a concept of Newtonian mechanics and commonly represented by "L" in Newtonian mechanics, Classical Physics. When an object in Newtonian mechanics rotates around the center point, L is defined as L=m*v*r (m: mass of the object, v: velocity of the object, r: radius of the rotation). In addition, definition of an angular momentum (L) includes a direction. The direction of an angular momentum is defined as "right-handed screw thread." For example, if the object rotates clockwise, the direction of the angular momentum is to the far side.
Bohr seems primarily assumed that centrifugal force and Coulomb force involving an electron around the hydrogen nucleus are balanced. Centrifugal force would be "m*v^2/r," Coulomb force would be "e*e/(4*π*ε0*r^2)." (m: mass of an electron, v: velocity of an electron, r: radius of the electronic orbit, e: electric charge of an electron or a proton, ε0: vacuum permittivity) Then Bohr assumed m*v^2/r=e*e/(4*π*ε0*r^2). m*v*r=e*e/(4*π*ε0*v). Then Bohr seems to be inspired that the assumed angular momentum (m*v*r) should be quantized as "assumed angular momentum is integral multiples of Planck constant" (m*v*r=n*h), supposedly because the dimensions of physical measurement involving angular momentum and Planck constant are the same (mass x length^2/time: kg*m^2/sec).
On the other hand, since Bohr's angular momentum based on his assumption, meaning of "angular momentum of an electron" seems unclear at that time.

2.6.4.2.6 Sommerfeld's Quantum Numbers and Electron Configuration around 1915 CE

Background
Bohr presented Bohr Model, while details didn't accord with spectroscopic observation.

Sommerfeld's Claim
It is said that Sommerfeld modified and refined Bohr's theory, claimed structure of Electron Shell (later "Principal Quantum Number" commonly represented by "n") and introduced elliptical orbits associated with later "Azimuthal Quantum Number" (commonly represented by "l" (small L): "l" derived from "L" representing angular momentum) along with the structure of Subshell.
* "Electron Shell in Wikipedia" http://en.wikipedia.org/wiki/Electron_shell#History

2.6.4.2.7 Einstein's General Theory of Relativity in 1915 CE

2.6.4.2.7.1 Background

After Einstein's 4th paper, gravity, acceleration, and gravitation of Newtonian mechanics remained to be reformed. Aside from that, perihelion precession of Mercury didn't match Newtonian mechanics.
Einstein noted gravity and acceleration are similar, both similarly generate power on objects.

2.6.4.2.7.2 Einstein's claim involving General Theory of Relativity

Newtonian mechanics held that the origin of gravity is exclusively "mass." However, Einstein claimed "energy (including mass) and momentum" curve spacetime and the property of the curved spacetime moving objects is called "gravity."
Curvature of space by heavy mass could be in a sense illustrated as follows.





2.6.4.2.7.3 Einstein Gravitational Field Equations

Einstein claimed curvatures of spacetime result in acceleration of objects, called gravity.
Specifically, Einstein presented the Einstein Gravitational Field Equations (Einstein Field Equations: EFE) below,

where
.
The extreme left term of the equation denotes "Degree of Spacetime Curvature."
The second term, the Cosmological Term , denotes "a property that is originally held by the Universe."
of the right side denotes "Energy including Mass and Momentum."
(kappa) on the right side of the equation represents the flexibility of spacetime. When kappa is large, spacetime is flexible, and even a small amount of energy results in a large degree of spacetime curvature. Kappa is generally considered to be a constant.
on the right side of denotes the Gravitational constant.

2.6.4.2.7.4 Property of Gravitational Fields

The General Theory of Relativity was admitted accounting for the perihelion precession of Mercury.
According to the General Theory of Relativity, for example following were claimed on Gravitational Fields.
(1) light advances along the shortest routes through the gravitational curved spacetime (gravitational field), straight route for the light.
(2) however, the route of the light is recognized as a curved route.
(3) gravitational lensing occurs, since the routes of light passing near massive bodies are curved inside (toward the mass).
(4) gravitational time dilation occurs.
* "General Relativity in Wikipedia" http://en.wikipedia.org/wiki/General_relativity

2.6.4.2.7.5 Mechanism in Gravitational Fields

The mechanism between curved spacetime and acceleration of objects might be, in a sense, roughly illustrated as follows, while details are unclear for now.
The figure below is a plane Minkowski Spacetime with no heavy Mass. Small stationary objects or particles in space are depicted to advance in the Minkowski Spacetime straight upward depending on time passage. They could be aiming at the nearest blue horizon (boundary) shown.
In other words, time course arrows running vertically from the bottom to the top (like the purplish blue arrows) could be presumed. Small stationary objects or particles would be just sitting on the time course arrows. The time course arrows convey small stationary objects or particles vertically upward depending on time passage.

In contrast, the figure below is a curved Minkowski Spacetime by heavy Mass. Spacetime near the heavy Mass is strongly curved. Spacetimes somewhat distant from the heavy Mass are slightly curved or inclined.
In this case, small objects or particles originally stationary somewhat distant from the heavy Mass would advance slightly to the right (to the heavy Mass) as a result of aiming at the nearest blue horizon (boundary), since the nearest blue horizon (boundary) is slightly inclined.
Other than that, small objects or particles near the heavy Mass would strongly incline to the right (to the heavy Mass) as a result of their attachment to (the vicinity of) the nearest blue horizon (boundary).
Acceleration to the heavy Mass (Gravity) mediated by curvature of spacetime might be explained in this way.
Thus gravity would not be derived from attachment of objects (or particles) to the heavy Mass. Gravity would be derived from obedience of objects (or particles) to curved spacetime, specifically attachment to (the vicinity of) the nearest horizon (boundary) in spacetime.
In other words, time course arrows running from the bottom to the top but inclined to the right (like the purplish blue arrows) could be presumed. Small objects or particles would be just sitting on the arrows. The inclined time course arrows convey small objects or particles upward but to the right (to the heavy Mass) depending on time passage.


The mechanism of the Gravitational Time Dilation would be figured out as follows.
When Spacetime is plane, small objects advance from 1A to 1B straight upward depending on time passage. Then the elapsed time in this case ("Elapsed Time 1") corresponds to the time that the blue horizon moved like below.

In contrast, when Spacetime is curved by "energy (including mass) and momentum," an object figuratively advances from 2A to 2B, slightly to the right (to the heavy Mass). Then when the object tends to resist the gravity intending to stay at the same location, it reaches 2C. In this case, the elapsed time on the object would be "Elapsed Time 2." It is naturally shorter than "Elapsed Time 1." This would be the Gravitational Time Dilation.


2.6.4.2.7.6 Derivation

For example, of the Einstein Gravitational Field Equations is a 4x4 tensor of rank 2 (a matrix), which consists of 16 elements. (4 comes from 4 Dimensional Spacetime.) Thus the Einstein Gravitational Field Equations are a complicated complex of equations.
*A tensor is a set of arranged numerical values. When numerical values are arranged in a line shape (a vector), it is a tensor of rank 1. When numerical values are arranged in a square shape (a square matrix), it is a tensor of rank 2. When numerical values are arranged in a cubic shape, it is a tensor of rank 3. Since is a 4x4 symmetric matrix, 6 elements are dependent, it consists of 10 independent equations.

However, the primary idea of the Einstein Gravitational Field Equations is quite simple. The primary idea is that Spacetime curves depending on mass. Yet, some modifications are required.
A modification is required from a viewpoint of the Special Theory of Relativity. The primary idea would presume a heavy mass. However, as mentioned before, absolute rest (stationary) wouldn't be presumed in this universe, a reference frame that is relatively moving fast near the speed of light in relation to the heavy mass would be presumed. In this case, from a viewpoint of the reference frame, the mass is moving fast near the speed of light holding extremely high kinetic energy, then the Special Theory of Relativity should be considered. Consequently, the mass is converted into energy through Mass-Energy equivalence, and incorporated with the kinetic energy.
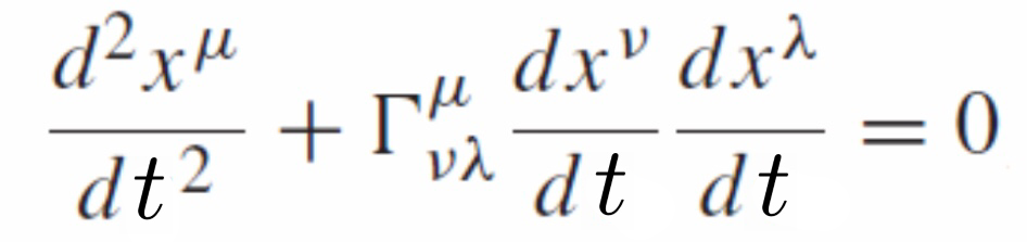
Another modification is energy distribution change through curvature of Spacetime by the energy (mass and motion) itself. Once a piece of energy (mass) is presumed at a location, it distorts Spacetime and the location of the energy (mass) moves. The transference would be calculated through the Geodesic Equations, . The shortest way in the curved Spacetime is calculated through the Geodesic Equations, the motion of the energy (mass and momentum) in reference to the shortest way would be calculated. Then after the motion of the energy (mass and momentum), the Spacetime is again distorted depending on the new energy distribution.

These are the sheer complexity of the General Relativity's calculation, which requires equations tied to tensors.

2.6.4.2.8 Schwarzschild's Black Hole (Collapsar) in 1916 CE

Background
Einstein presented the General Theory of Relativity

Schwarzschild's Black Hole
Schwarzschild analyzed the General Theory of Relativity and reached a solution in relation to the presence of heavy mass. According to his solution, if a heavy mass is concentrated within a small region, a spherical region appears around the mass from where even light wouldn't be able to escape because of the extreme curvature of spacetime. The spherical region is called Black Hole, while it was called "Collapsar" at that time. The surface of the spherical region is called "Event Horizon," since nothing is observed from it. The radius of the spherical region is called "Schwarzschild Radius."
It was called "Collapsar" since Black Hole is created through collapse of a star. (Stars originally mostly consists of a large amount of hydrogen and helium. The large amount of hydrogen and helium cause strong gravity and extremely high pressure at the center. The pressure at the center causes nuclear fusion reaction at the center changing hydrogen and helium into heavier atoms. Then the surfaces of stars would be balanced with pressure outward by the nuclear fusion reaction and pressure inward by gravity. However, when the nuclear fusion reaction made atoms into iron, the nuclear fusion reaction stops since iron wouldn't cause nuclear fusion reaction. Then the outward pressure by the nuclear fusion reaction is extinguished, the star shrinks (collapses) by gravity, mass is extremely concentrated at the center. This is the center heavy mass of the Black Hole. Then Black Hole was called "Collapsar" at that time.)
* "Black Hole in Wikipedia" http://en.wikipedia.org/wiki/Black_hole
* "Event Horizon in Wikipedia" http://en.wikipedia.org/wiki/Event_horizon
* "Schwarzschild Radius in Wikipedia" http://en.wikipedia.org/wiki/Schwarzschild_radius

*The circumstances might be explained like below.
The region between the blue horizon (boundary) is divided by square-like figures.
The following is a plane Spacetime with no mass. In this case, the boxes are square and light emitted to the left travels normally along the diagonal lines.

On the other hand, the following is a curved Spacetime with heavy Mass. In this case, the boxes incline depending on the distance from the heavy Mass. Light travels along the diagonal lines as well. Then light distant from the heavy Mass travels to the left rather normally.
However, there is a box with vertical diagonal line near the heavy Mass. Light travels just upward involving this vertical diagonal box. It means the light neither travels to the left nor right. The light stays at the original position (vertical diagonal box). No light is observed from it and it is called Event Horizon. The distance from the heavy Mass is Schwarzschild Radius.
In addition, boxes within the Event Horizon (or Schwarzschild), diagonals of boxes rather incline to the right (to the heavy Mass). Then light emitted even to the left travels to the center of the Black Hole (to the heavy Mass).


2.6.4.2.9 Sommerfeld and Heisenberg's Theory of Normal Zeeman Effect in 1922 CE

Background
Sommerfeld found the secondary structure of the Electron Configuration, Azimuthal Quantum Number. On the other hand, his pupil Heisenberg tackled theorizing the Zeeman Effect including Normal Zeeman Effect (Paschen-Back Effect) to be precise.

Theory of Normal Zeeman Effect (Paschen-Back Effect)
Sommerfeld and Heisenberg presented involvement of the 3rd quantum number associated with magnetic moment, named "Magnetic Quantum Number" (commonly represented by "ml"). Specifically, the Subshell of "n=2 and l=1" includes 3 magnetic quantum numbers, ml=-1, ml=0, and ml=+1. 3 orbits have magnetic property represented by ml=-1, ml=0, ml=+1 and they account for 3 spectra split as Normal Zeeman Effect (Paschen-Back Effect).
*Bohr originally connected the "assumed angular momentum" to every orbit, but "Magnetic Quantum Number" connected the "assumed angular momentum" to limited orbits such as the 3 orbits involving l=1.
* "Improved Bohr's Theory Thinkquest" http://library.thinkquest.org/19662/high/eng/improved-bohr.html

2.6.4.2.10 Stern-Gerlach Experiment in 1922 CE

Background
Relation between electrons and magnetism had been researched in various ways. Sommerfeld had presented 3 kinds of quantum numbers in relation to electrons.

Stern-Gerlach Experiment
Emitted silver atoms through inhomogeneous magnetic field left separated 2 marks on the target.
Since emitted trajectories of silver atoms are deflected by magnetic field, silver atoms clearly have magnetic moment (magnetic property). However, according to the traditional theory, silver atoms should leave a round mark on the target. The result of Stern-Gerlach Experiment was incomprehensible according to the traditional theory.
* "Stern-Gerlach Experiment in Wikipedia" http://en.wikipedia.org/wiki/Stern%E2%80%93Gerlach_experiment

*For easy understanding, circumstances could be explained as follows.
Magnets and electromagnets attract iron and other magnets. A magnet has the north pole (the north pole of a magnetic needle points to the north of the earth) and the south pole. Something of magnetic power is radiated from the north pole of a magnet and absorbed into the south pole of the magnet (just for easy understanding). If electricity runs clockwise in the coil of an electromagnet, something of magnetic power is radiated to the far side through the inside of the coil (like a screw) and something of magnetic power returns to this side over the outside of the coil. Yet, electrons run counterclockwise in the coil in this case, since electrons have negative electric value (electrons run from the negative pole of a battery to the positive pole, while electricity is defined to flow from the positive pole to the negative pole). The origin of radiated something of magnetic power is moving of electric charges. (Moving electric charges generate something of magnetic power.) Electric charges commonly adhere to electrons. Electric charges might be assumed like points of electricity.
Mechanism of attraction between a magnet and metals would be as follows. Electricity runs in most metals, most metals hold free electrons. Electrons or electric charges running around the nucleus cause and radiate something of magnetic power. If 2 electrons form a pair around the nucleus, somethings of magnetic power would be canceled. However, independent electrons around metallic nucleus cause and radiate something of magnetic power. Then most metals are in a sense magnets (with magnetic property, magnetic moment).
By the way, if directions of magnetic property (magnetic moment) of silver atoms are at random, emitted silver atoms through inhomogeneous magnetic field deflect to randomized directions. (A silver atom or an independent electron of a silver atom has both the north pole and the south pole. The north pole of the silver atom would be attracted to the south pole of the inhomogeneous magnetic field and the south pole of the silver atom would be attracted to the north pole of the inhomogeneous magnetic field. The both attractions seemingly balance. However, the north pole and the south pole of a silver atom are slightly separated in space, the powers attract to the poles slightly differ in the inhomogeneous magnetic field. Then the silver atoms through the inhomogeneous magnetic field deflect depending on the direction of the magnetic property (magnetic moment) of each silver atom.)
However, Stern-Gerlach Experiment left separated 2 marks on the target. It implies the magnetic situations of silver atoms are restricted to 2 situations.
It was incomprehensible with theories at that time.


2.6.4.2.11 Bohr and Sommerfeld's Electron Configuration around 1923 CE

Background
Electron Configuration was further clarified through spectroscopy.

Bohr and Sommerfeld's Claim
They presented general law of Electron Configuration. It would be summarized (in advance employing later concepts such as Principle Quantum Numbers and Azimuthal Quantum Numbers) consequently as follows.
Firstly, electron configuration is classified according to "Principle Quantum Numbers" associated with "rough energy level." Secondly, electrons of the same Principle Quantum Number are classified according to "Azimuthal Quantum Numbers" associated with "shape of orbit" or "assumed angular momentum." Thirdly, electrons of deformed orbits (associated with magnetic moment and "assumed angular momentum") designated by Azimuthal Quantum Number are classified according to "Magnetic Quantum Numbers."
"Principle Quantum Numbers" are commonly represented by "n".
The lowest number of "n" (Principle Quantum Number) is 1. "n=1" forms one orbit and it accommodates 2 electrons. The orbit(s) involving "n=1" is called "K shell." If n=1, Azimuthal Quantum Number (commonly represented by "l") is zero (l=0). Number of orbits of each "n" is "2*l+1." If n=1, l=0 and the number of orbits is 1 (2*l+1=1 orbit) as mentioned above ("n=1" forms one orbit). If l=0, the orbit is called "s". Consequently, it is called "1s," since n=1. According to later Schrodinger, the shape of "s" orbit (l=0) is like a sphere.
Specifically, for example, a hydrogen atom has one electron and the electron in most cases lies in K shell, where "n"=1 and "l"=0. Other than that, for example, a helium atom has 2 electrons and the 2 electrons in most cases lie in K shell, where "n=1" and "l=0."
The 2nd lowest number of "n" is 2. The orbits of n=2 accommodates 8 electrons. They are called "L shell." If n=2, Azimuthal Quantum Numbers "l" are 0 or 1. "n=2 and l=0" forms one orbit (2*l+1=1 orbit) and it accomodates 2 electrons. The orbit is called "2s," since n=2 and l=0. According to later Schrodinger, the shape of "2s" is like a sphere as well (in contrast to Sommerfeld's elliptical model). "n=2 and l=1" forms 3 orbits (2*l+1=3 orbits) and they accomodate 2x3=6 electrons. If l=1, the orbit(s) are called "p". Consequently, these 3 orbits are called "2p." They are respectively called "2px," "2py," and "2pz." According to later Schrodinger, the shape of "2p" orbits are like a dumbbell respectively. Specifically, the 3rd electron and the 4th electron lie in "2s" orbit. the 5th electron in "2px." The 6th electron in "2py." The 7th electron in "2pz." The 8th electron in "2px" as the 2nd electron of "2px." The 9th electron in "2py" as thd 2nd electron of "2py." The 10th electron in "2pz" as the 2nd electron of "2pz." their "PQN" are zero and AQN are zero. From the 3rd electron to 10th electron lie in L shell.
As Normal Zeemam Effect (Paschen-Back Effect) in magnetic field shows, 3 orbits of "2px, 2py, and 2pz" are associated with magnetic moment. Deformed orbits like 2p (not "s") seem associated with magnetic moment, consequently, angular momentum. "s" orbits would be associated with neither magnetic moment nor angular momentum.

General Electron Configuration
Shell Name Principle
Quantum
Number
Azimuthal
Quantum
Number
(0, .., n-1)
Name
of Orbit
Shape
of Orbit
(according to
later Schrodinger)
Magnetic
Quantum
Number
(-l, .., +l)
Detailed
Name of Orbit
Number
of Orbits
(2*l+1)
Capacity
for Electrons
K shell n=1l=0 1s Sphere ml= 0 1s 1 2*1=2
L shell n=2 l=0 2s Sphere ml= 0 2s 1 2*1=2
l=1 2p Dumbbell ml=-1
ml= 0
ml=+1
2px
2py
2pz
3 2*3=6
M shell n=3 l=0 3s Sphere ml= 0 3s 1 2*1=2
l=1 3p Dumbbell ml= -1
ml= 0
ml= +1
3px
3py
3pz
3 2*3=6
l=2 3d X-shaped
Dumbbells
etc
ml=-2
ml=-1
ml= 0
ml=+1
ml=+2
3dx2-y2
3dzx
3dyz
3dxy
3dz2
5 2*5=10

* "Electron Configuration in Wikipedia" http://en.wikipedia.org/wiki/Electron_configuration
Yet, the detailed ordering of orbital filling by electrons, order of orbital energy levels, doesn't necessarily accord with the order of Principle Quantum Number and "s", "p", "d", etc.
For example, general electron configuration of potassium is 1s2 2s2 2p6 3s2 3p6 4s1. (4s precedes 3d.)
Aside from that, for example, general electron configuration of silver is 1s2 2s2 2p6 3s2 3p6 3d10 4s2 4p6 4d10 5s1. (5s precedes 4f.)
(The detailed general ordering of orbital filling by electrons was not completely clarified at that time.)
* "Electron Shell Lust of Elements in Wikipedia" http://en.wikipedia.org/wiki/Electron_shell#List_of_elements_with_electrons_per_shell
* "Electronic Configurations in Chemwiki" http://chemwiki.ucdavis.edu/Inorganic_Chemistry/Electronic_Configurations"

2.6.4.2.12 De Broglie's Matter Wave in 1924 CE

Background
According to various experiments, electrons were thought particles at that time. Bohr assumed stable orbits electrons (electric particles) run to account for the Balmer series and exceptional denial of electromagnetic wave radiation from atoms.
On the other hand, light was thought waves, but Einstein claimed light as particles.
Compton Scattering was found in 1923 CE.

De Broglie's Claim
De Broglie claimed, involving Compton Scattering, electrons, furthermore matter, have property as waves. De Broglie claimed matter (with the mass "m") travelling at the velocity of "v" corresponds to a wave with the wave length of "λ" as shown below.
λ=h/(m*v)
(h=Planck constant=6.626*10^-34 J*s=6.626*10^-34 kg*m^2/sec )
De Broglie's theory improved Bohr's theory. Bohr's claim could be interpreted as follows.
Bohr assumed each electron travels on a circular orbit around the nucleus. An electron has slight mass and according to Newtonian mechanics, rotating mass holds angular momentum. Bohr assumed angular momentum of an electron, in addition, Bohr assumed angular momentum of electrons is quantized.
According to Newtonian mechanics, angular momentum represented by "L" is L=m*v*r.
According to de Broglie, m*v=h/λ.
According to Bohr, L=n*h/(2*π).
Then
h * r/λ=n * h/(2*π).
Then 2*π*r=n*λ.
It means integral multiples (n) of wave length (λ) corresponds to the length of the circular orbit (commonly represented by "2*π*r"). In this case, each wave of each electron around the nucleus forms a stationary wave.
Images of stationary waves might be as follows.


Then if integral multiples of wave length (λ) corresponds to the length of the circular orbit, a circular stationary wave is formed around the nucleus.

Otherwise, a circular stationary wave wouldn't be formed.


2.6.4.2.13 Pauli Exclusion Principle in 1924 CE

Background
Bohr had presented an outline of Electron Configuration. However, the reason why not all electrons fall into the lowest orbit was unclear.

Pauli Exclusion Principle
Pauli presumed a new quantum number regulates the prescribed number of electrons in an orbit to be 2 electrons. Then Pauli claimed the upper limit of electrons in an orbit to be 2.

2.6.4.2.14 Uhlenbeck and Goudsmit's Spin in 1925 CE

Background
According to the traditional theories at that time, number of the kinds of magnetic property involving electrons around an atom has is 1, 3, 5, and so forth like "2*l+1." However, Stern-Gerlach Experiment implied a silver atom holds 2 kinds of magnetic property involving electrons.
Other than that, general electron configuration of silver atom is well balanced as "4p" and "4d" orbits are filled and the last electron lies in "5s." Filled subshells such as 3 orbits of "4p" and 5 orbits of "4d," and spherical "5s" orbit would not show magnetic moment.
Then no cause for splitting into 2 silver marks was seen according to the traditional theories at that time.

Uhlenbeck and Goudsmit's Spin
Uhlenbeck and Goudsmit claimed electrons originally have magnetic property irrelevant to orbital rotation nor revolution. They claimed electrons are spinning by nature, the original magnetic property of electrons is derived from the original spinning of electrons, there are 2 spinning directions, and then there are 2 directions of magnetic moment involving electrons. In addition, they claimed the 2 spins are the aspect of quantization and the quantum corresponds to Pauli's new quantum number involving the Exclusion Principle. The new quantum number was then named "Spin Magnetic Quantum Number" or "Spin Quantum Number" commonly represented by "ms" or "s".

2.6.4.2.15 Heisenberg's Matrix Mechanics in 1925 CE

Background
Some theories involving electron orbit were presented, but details were unclear.

Heisenberg's Matrix Mechanics
Heisenberg improved matrix theory and presented a solution. However, his presentation was yet incomplete and complicated.






Return to the Home Page